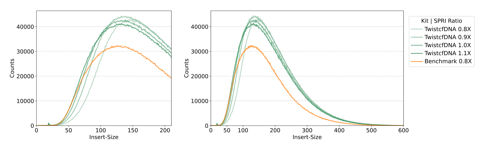
Can I adjust the SPRI ratio after ligation from the recommended 0.9X?

Yes, the engineered ligase doesn’t rely on crowding agents like PEG for maximum ligation. PEG is automation unfriendly, increases variability/viscosity, and impacts downstream bead-based purification (SPRI). We recommend 0.9X SPRI as the optimal ratio for cfDNA recovery (~150-167 bp). For shorter cfDNA fragments, we recommend increasing the SPRI ratio to 1.0X or 1.1X (Figure 2's).

Fig-2A-2B

Figure 2. Visualization of library insert sizes of mechanically sheared gDNA NA12878 (Coriell) that went through the cfDNA Library Preparation Kit’s workflow using different SPRI ratios "0.8x to 1.1x" as compared with a benchmark kit.

Was this article helpful?

No

Still have questions? Contact Us