Built for Whole Genomes: Comprehensive Coverage without Bias
The Twist PCR Free WGS Library Preparation Kit is engineered to generate high quality whole genome libraries without amplification, preserving native genome representation. Built on Twist’s optimized enzymatic fragmentation and ligation chemistry, the workflow delivers consistent insert sizes, low ligation bias, and uniform coverage across the genome, supporting accurate variant characterization.
Built for Whole Genomes: Comprehensive Coverage without Bias
The Twist PCR Free WGS Library Preparation Kit is engineered to generate high quality whole genome libraries without amplification, preserving native genome representation. Built on Twist’s optimized enzymatic fragmentation and ligation chemistry, the workflow delivers consistent insert sizes, low ligation bias, and uniform coverage across the genome, supporting accurate variant characterization.
Product data
Figure 1. PCR-free library yield comparison across inputs. Final library concentration (nM) was measured following PCR-free library preparation using the indicated DNA inputs. Twist PCR-Free WGS Library Preparation generated higher library yields than competitor workflows at equivalent inputs and maintained strong performance at lower inputs.

Figure 2. The kit produces consistently large inserts across a wide range of DNA samples. (A) Median Insert Size is represented for 300 ng, 75 ng, and 37.5 ng of NA12878 DNA sample input. (B) Percent Overlap (which measures how much paired-end sequencing reads redundantly cover the same DNA bases) is represented for 300 ng, 75 ng, and 37.5 ng of NA12878 sample input.
Figure 3. Tunability of Twist PCR-Free WGS Library Prep Kit.
A: Five electropherograms of NGS libraries generated using differing fragmentation times. 50 ng of high-quality gDNA was fragmented for various times at 32°C.
Figure 4. The Twist PCR-Free WGS Library Preparation Kit provides more consistent coverage distribution across varying GC content. The kit shows minimized GC bias even at low inputs, thereby reducing the need for additional sequencing to achieve uniform coverage and better detection of variants in the high- and low-GC content regions.
Product data
Product data
Figure 1. PCR-free library yield comparison across inputs. Final library concentration (nM) was measured following PCR-free library preparation using the indicated DNA inputs. Twist PCR-Free WGS Library Preparation generated higher library yields than competitor workflows at equivalent inputs and maintained strong performance at lower inputs.

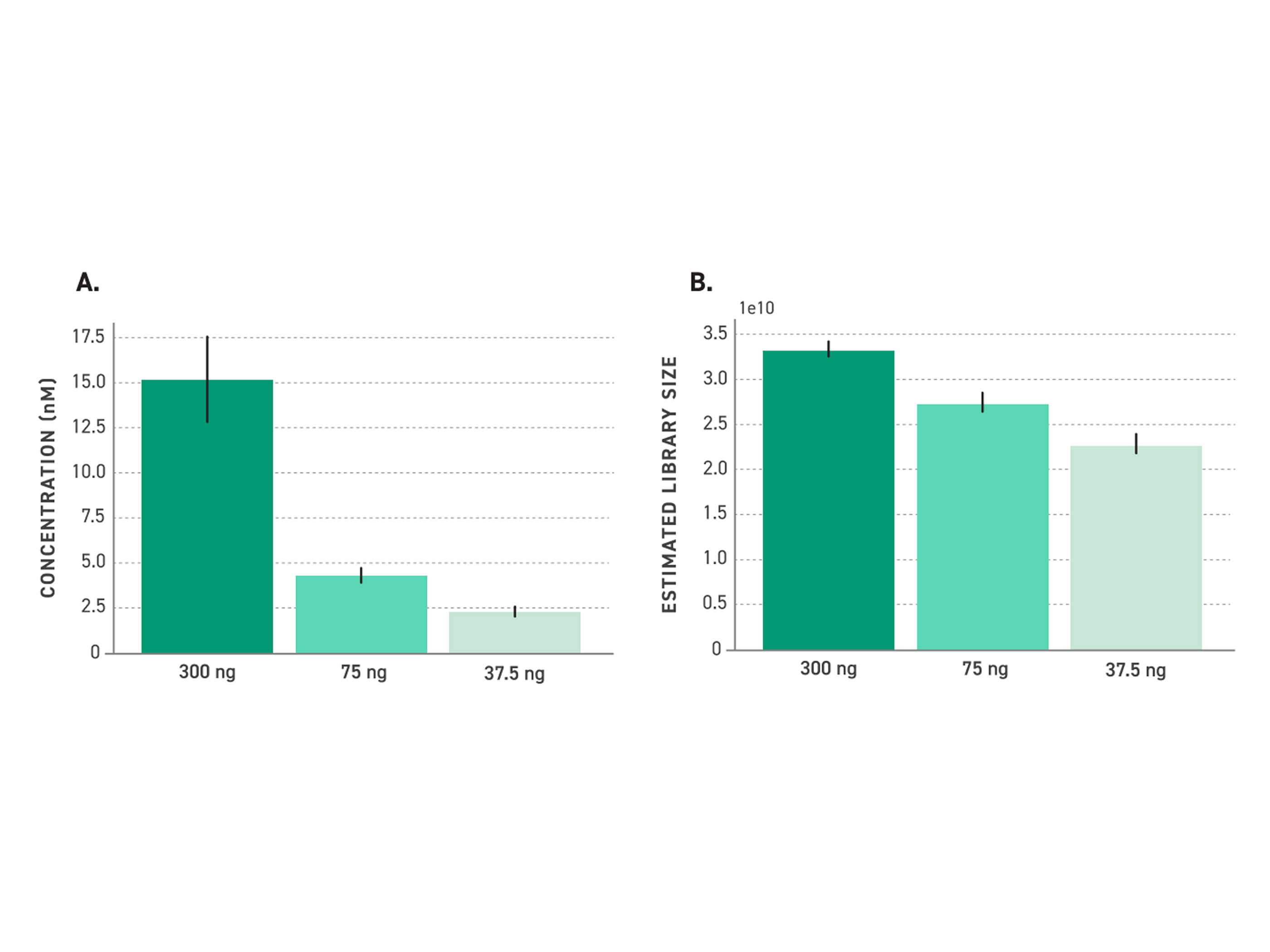
Figure 2. The kit produces consistently large inserts across a wide range of DNA samples. (A) Median Insert Size is represented for 300 ng, 75 ng, and 37.5 ng of NA12878 DNA sample input. (B) Percent Overlap (which measures how much paired-end sequencing reads redundantly cover the same DNA bases) is represented for 300 ng, 75 ng, and 37.5 ng of NA12878 sample input.
Figure 3. Tunability of Twist PCR-Free WGS Library Prep Kit.
A: Five electropherograms of NGS libraries generated using differing fragmentation times. 50 ng of high-quality gDNA was fragmented for various times at 32°C.
Figure 4. The Twist PCR-Free WGS Library Preparation Kit provides more consistent coverage distribution across varying GC content. The kit shows minimized GC bias even at low inputs, thereby reducing the need for additional sequencing to achieve uniform coverage and better detection of variants in the high- and low-GC content regions.
Product data
Highlighted resources
Highlighted resources
Related Workflows and Applications
Twist offers a comprehensive suite of library preparation kits and accessory products, empowering you to tailor your WGS workflows to your unique needs.
Related Workflows and Applications
Twist offers a comprehensive suite of library preparation kits and accessory products, empowering you to tailor your WGS workflows to your unique needs.


