Twist EM-seq v2 Methylation Detection System enables accurate methylation analysis through a fully enzymatic workflow designed to preserve DNA integrity while delivering consistent library yields and high conversion efficiency. Optimized for low input and challenging samples, EM-Seq v2 supports robust methylation profiling without bisulfite induced DNA damage.
Libraries prepared with EM-Seq v2 maintain capture efficiency and uniformity. Performance is preserved through downstream workflows specifically for methylation applications, including compatibility with both standard and fast hybridization protocols.
EM-Seq v2 libraries processed with Twist hybridization maintain consistent capture efficiency and methylation performance, supporting reliable downstream analysis.
Consistent detection of differentially methylated regions demonstrates reliable performance across methylation targets, reinforcing reproducibility for downstream methylation analysis.
EM-Seq v2 generates consistent, usable library yields across a wide DNA input range. Reduced dropout at lower inputs supports methylation sequencing when sample availability is limited, while maintaining reliable performance across workflows.
EM-Seq v2 delivers robust enzymatic conversion of unmethylated cytosines with consistent CpG call ratios, supporting accurate and reliable methylation analysis while preserving DNA integrity.
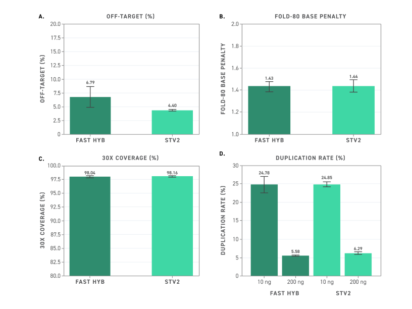
Figure 1. The Twist Methylation Enhancer improves target enrichment quality and reduces methylation-specific off-target hybridization for Twist EM-Seq v2 libraries captured with the Twist Alliance Pan-Cancer panel, using either the Fast or Standard Hybridization v2 systems.
Figure 2. Twist EM-Seq v2 Methylation Detection System libraries captured with the Twist Alliance Pan-Caner panel using the Twist Standard Hybridization v2 system provide highly reproducible Picard target enrichment performance metrics across samples with highly variable methylation levels.
Figure 3. Highly sensitive methylation detection. Detection of methylation is possible across a wide range of methylation levels and targets.
Figure 4. Yield of libraries generated with Twist EM-seq v2 Methylation Detection System. Library yields are high even with low mass input.
Figure 5. Left Panel: Non-CPG Conversion Rate. Conversion rates with v2 are high even with low mass input. Right Panel: Called CPG Ratio. Conversion specificity with v2 is high even with low mass input.
Libraries prepared with EM-Seq v2 maintain capture efficiency and uniformity. Performance is preserved through downstream workflows specifically for methylation applications, including compatibility with both standard and fast hybridization protocols.
Figure 1. The Twist Methylation Enhancer improves target enrichment quality and reduces methylation-specific off-target hybridization for Twist EM-Seq v2 libraries captured with the Twist Alliance Pan-Cancer panel, using either the Fast or Standard Hybridization v2 systems.
EM-Seq v2 libraries processed with Twist hybridization maintain consistent capture efficiency and methylation performance, supporting reliable downstream analysis.
Figure 2. Twist EM-Seq v2 Methylation Detection System libraries captured with the Twist Alliance Pan-Caner panel using the Twist Standard Hybridization v2 system provide highly reproducible Picard target enrichment performance metrics across samples with highly variable methylation levels.
Consistent detection of differentially methylated regions demonstrates reliable performance across methylation targets, reinforcing reproducibility for downstream methylation analysis.
Figure 3. Highly sensitive methylation detection. Detection of methylation is possible across a wide range of methylation levels and targets.
EM-Seq v2 generates consistent, usable library yields across a wide DNA input range. Reduced dropout at lower inputs supports methylation sequencing when sample availability is limited, while maintaining reliable performance across workflows.
Figure 4. Yield of libraries generated with Twist EM-seq v2 Methylation Detection System. Library yields are high even with low mass input.
EM-Seq v2 delivers robust enzymatic conversion of unmethylated cytosines with consistent CpG call ratios, supporting accurate and reliable methylation analysis while preserving DNA integrity.
Figure 5. Left Panel: Non-CPG Conversion Rate. Conversion rates with v2 are high even with low mass input. Right Panel: Called CPG Ratio. Conversion specificity with v2 is high even with low mass input.
Product Data
EM-Seq V2 uses enzymatic reactions to selectively convert unmethylated cytosines while protecting methylated bases. After amplification, unmethylated sites are read as thymine and methylated sites remain cytosine, enabling accurate methylation analysis without DNA damage.
Twist Library Preparation Kits streamline the construction of high-quality DNA libraries for next-generation sequencing by combining key preparation steps into a single, efficient reaction.
Twist Custom NGS Panels let you move beyond off-the-shelf solutions, giving you full control over what you sequence.
Twist Library Preparation Kits streamline the construction of high-quality DNA libraries for next-generation sequencing by combining key preparation steps into a single, efficient reaction.
The Twist DNA CGP Panel enables comprehensive detection of SNVs, indels, copy number alterations, and gene rearrangements, delivering broad mutation coverage in a single assay.
The Twist Bioscience MRD Rapid 500 Panel is a scalable target enrichment solution for minimal residual disease, enabling broad genomic coverage with panels ranging from 50 to 500 probes.
© 2025 Twist Bioscience. All rights reserved.