Overview

Low bias, high fidelity amplification built for NGS Workflows.

Engineered for NGS library amplification, Twist TrueAmp Polymerase delivers uniform coverage across GC extremes, high sensitivity from low inputs, and automation ready hot start performance.

Unbiased, High Fidelity Results

Amplify uniformly across extreme 5–95% GC regions to maintain coverage of difficult targets. Improved fidelity and reduced homopolymer slippage deliver cleaner data and more confident calls with fewer repeats.

Reliable Performance from Challenging Samples

Generate consistent, high-yield libraries from complex samples—even at ≤100 pg input—so you recover more usable data and keep your workflows moving forward.

Simplified, Scalable Workflows

An aptamer enabled hot start enables room temperature stability for automation, while a single-tube 2× mastermix simplifies setup and reduces hands-on time; helping you scale workflows with fewer errors and faster turnaround.

Low bias, high fidelity amplification built for NGS Workflows.

Engineered for NGS library amplification, Twist TrueAmp Polymerase delivers uniform coverage across GC extremes, high sensitivity from low inputs, and automation ready hot start performance.

Unbiased, High Fidelity Results

Amplify uniformly across extreme 5–95% GC regions to maintain coverage of difficult targets. Improved fidelity and reduced homopolymer slippage deliver cleaner data and more confident calls with fewer repeats.

Reliable Performance from Challenging Samples

Generate consistent, high-yield libraries from complex samples—even at ≤100 pg input—so you recover more usable data and keep your workflows moving forward.

Simplified, Scalable Workflows

An aptamer enabled hot start enables room temperature stability for automation, while a single-tube 2× mastermix simplifies setup and reduces hands-on time; helping you scale workflows with fewer errors and faster turnaround.

Product

Product data

Low-bias amplification across GC extremes
Low-bias amplication

 

Figure 1. GC-normalized coverage; AT-rich C. difficile and GC-rich B. pertussis.

Efficient & robust yields at low input
Efficient & Robust Yields

 

Figure 2. Serial dilutions from 1 ng to 100 fg, Qubit and TapeStation QC.

High fidelity & reduced artifacts
Bead Tolerance for Reliable PCR

 

Figure 3. Substitution rates after >7M base incorporations; homopolymer readout using Twist clonal plasmids.

Bead Tolerance for Reliable PCR
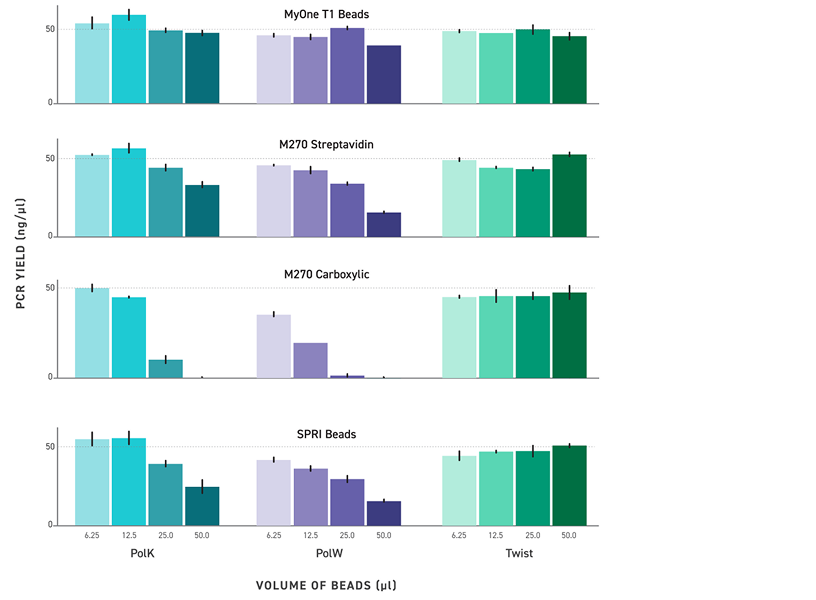
Bead Tolerance for Reliable PCR

 

Figure 4. Tolerance to Paramagnetic Beads During PCR. PCR reactions were spiked with 6.25 μl, 12.5 μl, 25 μl, and 50 μl of MyOne T1 Beads, M270 Beads (Invitrogen), and Twist DNA Purification Beads. Reactions were purified post bead-removal and quantified on Qubit dsDNA Broad Range Assay.

Engineered amplification that preserves library complexity

Many PCR enzymes are optimized for single-amplicon tasks (qPCR, cloning) rather than complex NGS libraries.

TrueAmp changes the approach
An engineered proofreading, high-processivity DNA polymerase that delivers best-in-class GC uniformity, yield, and fidelity for library amplification.

The result
Fewer biases toward short, GC-neutral molecules and more usable data per run.

TrueAmp Polymerase Workflow

 

Key features include

check Single-tube 2× mastermix simplifies setup and reduces handling errors

check Compatible with pre-capture and post-capture amplification

check Designed for same-day or overnight hybridization workflows alongside Twist TE kits

check Validated with Twist library prep & enrichment reagents to maintain end-to-end performance consistency

Product data

Low-bias amplification across GC extremes
Low-bias amplication

 

Figure 1. GC-normalized coverage; AT-rich C. difficile and GC-rich B. pertussis.

Efficient & robust yields at low input
Efficient & Robust Yields

 

Figure 2. Serial dilutions from 1 ng to 100 fg, Qubit and TapeStation QC.

High fidelity & reduced artifacts
Bead Tolerance for Reliable PCR

 

Figure 3. Substitution rates after >7M base incorporations; homopolymer readout using Twist clonal plasmids.

Bead Tolerance for Reliable PCR
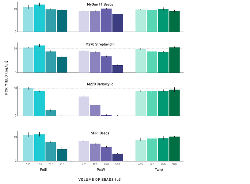
Bead Tolerance for Reliable PCR

 

Figure 4. Tolerance to Paramagnetic Beads During PCR. PCR reactions were spiked with 6.25 μl, 12.5 μl, 25 μl, and 50 μl of MyOne T1 Beads, M270 Beads (Invitrogen), and Twist DNA Purification Beads. Reactions were purified post bead-removal and quantified on Qubit dsDNA Broad Range Assay.

Engineered amplification that preserves library complexity

Many PCR enzymes are optimized for single-amplicon tasks (qPCR, cloning) rather than complex NGS libraries.

TrueAmp changes the approach
An engineered proofreading, high-processivity DNA polymerase that delivers best-in-class GC uniformity, yield, and fidelity for library amplification.

The result
Fewer biases toward short, GC-neutral molecules and more usable data per run.

TrueAmp Polymerase Workflow

 

Key features include

check Single-tube 2× mastermix simplifies setup and reduces handling errors

check Compatible with pre-capture and post-capture amplification

check Designed for same-day or overnight hybridization workflows alongside Twist TE kits

check Validated with Twist library prep & enrichment reagents to maintain end-to-end performance consistency

Resources
Application

Related Workflows and Applications

Related Workflows and Applications