dna header art on a black background

Reliable, scalable cfDNA workflows

Generate high-quality libraries from challenging cfDNA inputs with a streamlined workflow that delivers high conversion and sensitivity for rare variant detection. Designed for low input and fragmented samples, the Twist cfDNA Library Prep Kit helps you uncover critical insights with confidence and efficiency.

Reliable

Maximize rare variant detection

High conversion rate reliably detects rare variants (≤0.1% VAF). Support duplex sequencing workflows with the Twist UMI Adapter System to maximize detection sensitivity.

samples

Streamlined workflow for precious samples

Achieve robust performance, even with low (<1 ng) sample input. Get sequence-ready libraries in 2 hours.

detection

Amplification without bias

Get consistent coverage across 5%–95% GC, preserving challenging genomic regions and difficult-to-capture targets. Get consistent high yields from complex libraries, even at ≤100 pg of DNA input. Call variants with confidence.

Product data

High-fidelity amplification with Twist TrueAmp Polymerase generates cfDNA libraries that have substitution error rates comparable to those of PCR-free cfDNA libraries across all analyzed base changes.

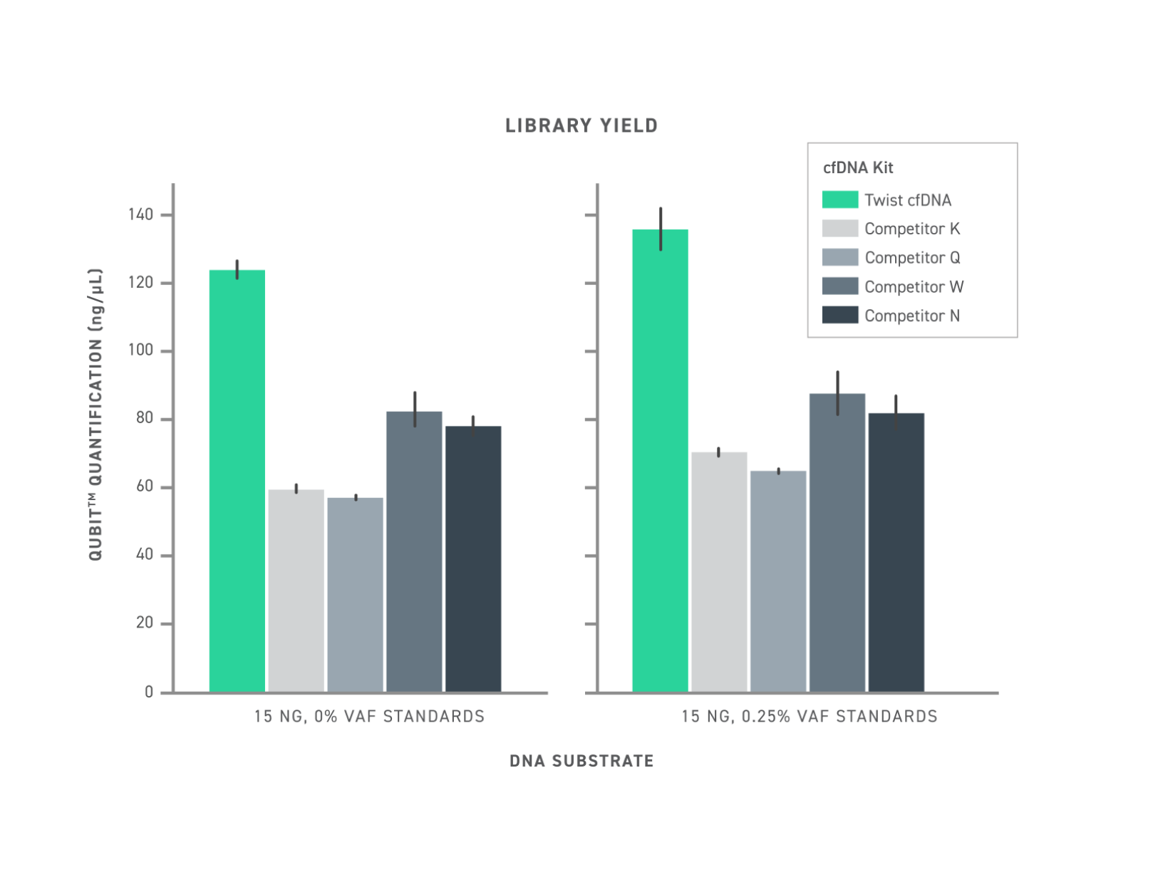
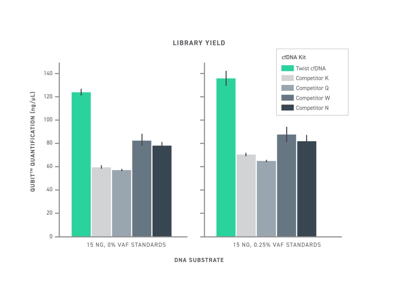
The Twist cfDNA Library Prep Kit delivers higher cfDNA library yields. Following library generation, samples were eluted in 20 μL of water, and 1 µL was quantified with Qubit™ dsDNA Broad Range Kit.

The Twist cfDNA Library Prep Kit enables sensitive, accurate detection down to 0.25% VAF. Single-plex capture with a 50 kb oncology panel targets 217 single nucleotide polymorphisms (SNPs). Missed variants are sites with <1 variant family over total detectable sites.

The Twist cfDNA Library Prep Kit delivers higher library complexity with or without unique molecular identifier (UMI) deduplication. Single-plex capture with a 50 kb oncology panel targets variant sites in cfDNA standard material using optimized target enrichment workflows.

Video
cfDNA sequencing error rate comparison showing PCR-free vs TrueAmp amplification libraries with equivalent base substitution accuracy for low-frequency variant detection
cfDNA library preparation kit generating higher DNA yield measured by Qubit™, improving NGS library prep efficiency and sequencing performance
Sensitive detection of low-frequency variants at 0.25% VAF using cfDNA library prep and hybridization capture with oncology SNP panel
High-complexity cfDNA sequencing libraries with and without UMI deduplication, improving unique read depth and variant detection accuracy

High-fidelity amplification with PCR

High-fidelity amplification with Twist TrueAmp Polymerase generates cfDNA libraries that have substitution error rates comparable to those of PCR-free cfDNA libraries across all analyzed base changes.

cfDNA sequencing error rate comparison showing PCR-free vs TrueAmp amplification libraries with equivalent base substitution accuracy for low-frequency variant detection

Figure 1 Comparable Base Substitution Error Rates with and without TrueAmp Amplification. The Twist cfDNA Library Prep Kit was used to generate libraries with the Twist cfDNA Pan-Cancer Reference Standard v2 as the input material. Twist Full-Length Unique Dual Index (UDI) Adapters were used during ligation for the PCR-free condition and Twist Universal Adapters were used during ligation for the PCR condition. The PCR condition was amplified using 6 cycles with Twist TrueAmp Polymerase mix and UDI primers. The libraries were pooled, sequenced and analyzed. Comparable error rates are seen between PCR-free and TrueAmp libraries.

Higher conversion rate = higher yield

The Twist cfDNA Library Prep Kit delivers higher cfDNA library yields. Following library generation, samples were eluted in 20 μL of water, and 1 µL was quantified with Qubit™ dsDNA Broad Range Kit.

cfDNA library preparation kit generating higher DNA yield measured by Qubit™, improving NGS library prep efficiency and sequencing performance

Figure 2. The Twist cfDNA Library Prep Kit delivers higher cfDNA library yields. Following library generation, samples were eluted in 20 uL of water, and 1 uL was quantified with Qubit™ dsDNA Broad Range Kit.

Higher sensitivity & higher accuracy

The Twist cfDNA Library Prep Kit enables sensitive, accurate detection down to 0.25% VAF. Single-plex capture with a 50 kb oncology panel targets 217 single nucleotide polymorphisms (SNPs). Missed variants are sites with <1 variant family over total detectable sites.

Sensitive detection of low-frequency variants at 0.25% VAF using cfDNA library prep and hybridization capture with oncology SNP panel

Figure 3. The Twist cfDNA Library Prep Kit enables sensitive and accurate detection of variants at 0.25% VAF. Libraries were single-plex captured with a custom 50kb oncology panel targeting 217 SNP variant sites in the Pan-Cancer standard material. Variants Missed is calculated by summing sites with less than 1 variant family divided by total detectable variant sites.

Improved duplexing = higher complexity

The Twist cfDNA Library Prep Kit delivers higher library complexity with or without unique molecular identifier (UMI) deduplication. Single-plex capture with a 50 kb oncology panel targets variant sites in cfDNA standard material using optimized target enrichment workflows.

High-complexity cfDNA sequencing libraries with and without UMI deduplication, improving unique read depth and variant detection accuracy

Figure 4. The Twist cfDNA Library Prep Kit delivers higher complexity with and without UMI deduplication.

1 / 5
cfDNA sequencing error rate comparison showing PCR-free vs TrueAmp amplification libraries with equivalent base substitution accuracy for low-frequency variant detection

High-fidelity amplification with PCR

High-fidelity amplification with Twist TrueAmp Polymerase generates cfDNA libraries that have substitution error rates comparable to those of PCR-free cfDNA libraries across all analyzed base changes.

cfDNA library preparation kit generating higher DNA yield measured by Qubit™, improving NGS library prep efficiency and sequencing performance

Higher conversion rate = higher yield

The Twist cfDNA Library Prep Kit delivers higher cfDNA library yields. Following library generation, samples were eluted in 20 μL of water, and 1 µL was quantified with Qubit™ dsDNA Broad Range Kit.

Sensitive detection of low-frequency variants at 0.25% VAF using cfDNA library prep and hybridization capture with oncology SNP panel

Higher sensitivity & higher accuracy

The Twist cfDNA Library Prep Kit enables sensitive, accurate detection down to 0.25% VAF. Single-plex capture with a 50 kb oncology panel targets 217 single nucleotide polymorphisms (SNPs). Missed variants are sites with <1 variant family over total detectable sites.

High-complexity cfDNA sequencing libraries with and without UMI deduplication, improving unique read depth and variant detection accuracy

Improved duplexing = higher complexity

The Twist cfDNA Library Prep Kit delivers higher library complexity with or without unique molecular identifier (UMI) deduplication. Single-plex capture with a 50 kb oncology panel targets variant sites in cfDNA standard material using optimized target enrichment workflows.

The cfDNA Library Prep Kit with TrueAmp Polymerase Mix workflow

The cfDNA workflow leverages engineered GC balance and high-fidelity amplification. This design delivers high amplification yield while minimizing PCR-introduced errors that can compromise low-frequency variant detection. The result is uniform, high-quality libraries in a fast, 2-hour workflow. Aptamer-based hot-start control provides room-temperature stability for automated setup, while the single-tube 2× mastermix streamlines both WGS and target enrichment workflows.

cfDNA NGS workflow with optimized GC balance and high-fidelity PCR amplification delivering uniform libraries, reduced sequencing errors, and improved low-frequency variant detection