OVERVIEW DATA APPLICATION RESOURCES
Overview

Low bias, high fidelity amplification built for NGS Workflows.

Engineered for NGS library amplification, Twist TrueAmp Polymerase delivers uniform coverage across GC extremes, high sensitivity from low inputs, and automation ready hot start performance.

flex
Unbiased, High Fidelity Results
Amplify without bias across 5%–95% GC to maintain visibility of difficult targets.

Call variants with confidence via improved fidelity and reduced homopolymer slippage.
work
Reliable Performance from Challenging Samples
Consistent high yields from complex libraries—even at ≤100 pg DNA input.
efficient
Simplified, Scalable Workflows
Aptamer enabled start delivers room temperature stability for automation ready workflows
Streamline workflows with a single-tube 2× mastermix, validated with Twist library prep and target enrichment reagents.

Engineered amplification that preserves library complexity.

Many PCR enzymes are optimized for single-amplicon tasks (qPCR, cloning) rather than complex NGS libraries.

trueamp

TrueAmp changes the approach


An engineered proofreading, high-processivity DNA polymerase that delivers best-in-class GC uniformity, yield, and fidelity for library amplification.

The result


Fewer biases toward short, GC-neutral molecules and more usable data per run.

Key features include

  • Single-tube 2× mastermix simplifies setup and reduces handling errors
  • Compatible with pre-capture and post-capture amplification
  • Designed for same-day or overnight hybridization workflows alongside Twist TE kits
  • Validated with Twist library prep & enrichment reagents to maintain end-to-end performance consistency

 

 

cfDNA with TrueAmp Polymerase Library Prep Kit

Twist's cfDNA with TrueAmp Polymerase Library Prep Kit enables robust performance from low input samples

cfdna

 

Learn more

Low bias, high fidelity amplification built for NGS Workflows.

Engineered for NGS library amplification, Twist TrueAmp Polymerase delivers uniform coverage across GC extremes, high sensitivity from low inputs, and automation ready hot start performance.

flex
Unbiased, High Fidelity Results
Amplify without bias across 5%–95% GC to maintain visibility of difficult targets.

Call variants with confidence via improved fidelity and reduced homopolymer slippage.
work
Reliable Performance from Challenging Samples
Consistent high yields from complex libraries—even at ≤100 pg DNA input.
efficient
Simplified, Scalable Workflows
Aptamer enabled start delivers room temperature stability for automation ready workflows
Streamline workflows with a single-tube 2× mastermix, validated with Twist library prep and target enrichment reagents.
cfDNA with TrueAmp Polymerase Library Prep Kit

Twist's cfDNA with TrueAmp Polymerase Library Prep Kit enables robust performance from low input samples

cfdna

 

Learn more

Engineered amplification that preserves library complexity.

Many PCR enzymes are optimized for single-amplicon tasks (qPCR, cloning) rather than complex NGS libraries.

trueamp

TrueAmp changes the approach


An engineered proofreading, high-processivity DNA polymerase that delivers best-in-class GC uniformity, yield, and fidelity for library amplification.

The result


Fewer biases toward short, GC-neutral molecules and more usable data per run.

Key features include

  • Single-tube 2× mastermix simplifies setup and reduces handling errors
  • Compatible with pre-capture and post-capture amplification
  • Designed for same-day or overnight hybridization workflows alongside Twist TE kits
  • Validated with Twist library prep & enrichment reagents to maintain end-to-end performance consistency

 

 

DATA
Low bias amplification across GC extremes

TrueAmp sustains coverage where others drop out, improving sequencing economics and preserving difficult targets.

figure

Figure 1: GC-normalized coverage; AT-rich C. difficile and GC-rich B. pertussis.

Efficient & robust yields at low input

With improved efficiency, TrueAmp can hit yield targets in fewer cycles, limiting cycle-induced artifacts. It remains robust for low yield libraries typical of post capture PCR.

web

Figure 2: serial dilutions from 1 ng to 100 fg, Qubit and TapeStation QC.

High fidelity & reduced artifacts

An engineered proofreading polymerase reduces C→T misincorporations often caused by cytosine deamination and limits slippage across long homopolymers—critical for sensitive variant detection.

web-figure-3

Figure 3: substitution rates after >7M base incorporations; homopolymer readout using Twist clonal plasmids.

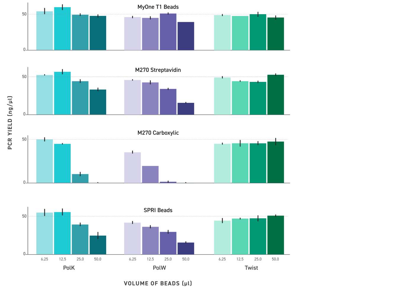
Bead Tolerance for Reliable PCR

Magnetic beads are widely used for purification and size selection but can inhibit PCR and lower yields. As shown in Figure 4, Twist TrueAmp Polymerase Mix maintains higher sequencing read counts than other polymerases across increasing bead concentrations (6.25–50 μl). This strong bead tolerance simplifies workflows, reduces rework, and ensures consistent data quality.

web-figure-4

Figure 4. Tolerance to Paramagnetic Beads During PCR. PCR reactions were spiked with 6.25 μl, 12.5 μl, 25 μl, and 50 μl of MyOne T1 Beads, M270 Beads (Invitrogen), and Twist DNA Purification Beads. Reactions were purified post bead-removal and quantified on Qubit dsDNA Broad Range Assay.

Low bias amplification across GC extremes

TrueAmp sustains coverage where others drop out, improving sequencing economics and preserving difficult targets.

figure

Figure 1: GC-normalized coverage; AT-rich C. difficile and GC-rich B. pertussis.

Efficient & robust yields at low input

With improved efficiency, TrueAmp can hit yield targets in fewer cycles, limiting cycle-induced artifacts. It remains robust for low yield libraries typical of post capture PCR.

web

Figure 2: serial dilutions from 1 ng to 100 fg, Qubit and TapeStation QC.

High fidelity & reduced artifacts

An engineered proofreading polymerase reduces C→T misincorporations often caused by cytosine deamination and limits slippage across long homopolymers—critical for sensitive variant detection.

web-figure-3

Figure 3: substitution rates after >7M base incorporations; homopolymer readout using Twist clonal plasmids.

Bead Tolerance for Reliable PCR

Magnetic beads are widely used for purification and size selection but can inhibit PCR and lower yields. As shown in Figure 4, Twist TrueAmp Polymerase Mix maintains higher sequencing read counts than other polymerases across increasing bead concentrations (6.25–50 μl). This strong bead tolerance simplifies workflows, reduces rework, and ensures consistent data quality.

web-figure-4

Figure 4. Tolerance to Paramagnetic Beads During PCR. PCR reactions were spiked with 6.25 μl, 12.5 μl, 25 μl, and 50 μl of MyOne T1 Beads, M270 Beads (Invitrogen), and Twist DNA Purification Beads. Reactions were purified post bead-removal and quantified on Qubit dsDNA Broad Range Assay.

Application
image

Liquid biopsy enables minimally invasive detection of biomarkers, such as cfDNA and RNA, from blood, plasma, or urine. When combined with NGS, it delivers highly sensitive insight into disease progression from limited, fragmented samples.

Advances in library prep continue to expand detectable biomarkers. TrueAmp Polymerase drives robust yield, low-bias amplification, and high fidelity for low-input cfDNA inputs, helping maximize usable data for these workflows.

 
Frequency of Sampling
Heterogeneity
Early Cancer Detection
Measurable Residual Disease (MRD)
Metastatic Disease Detection
Liquid Biopsy
Minimally invasive; enables frequent, longitudinal sampling.
ctDNA reflects multiple tumor sites in a single assay.
cfDNA enables multi-cancer detection from one sample.
Sensitive NGS detects low level ctDNA; TrueAmp preserves signal from low input.
System wide ctDNA detection; methylation can indicate origin.
Traditional Methods
Invasive biopsies limit sampling; imaging can be burdensome.
Single site biopsies miss spatial and temporal heterogeneity.
Often organ specific with variable sensitivity and cost.
Invasive procedures required; imaging lacks early sensitivity.
Limited sensitivity and infrequent monitoring delay detection.
Take the next step.

Learn more about the benefits of cfDNA Library Prep with TrueAmp Polymerase for low-input liquid biopsy research.

Learn more

image

Liquid biopsy enables minimally invasive detection of biomarkers, such as cfDNA and RNA, from blood, plasma, or urine. When combined with NGS, it delivers highly sensitive insight into disease progression from limited, fragmented samples.

Advances in library prep continue to expand detectable biomarkers. TrueAmp Polymerase drives robust yield, low-bias amplification, and high fidelity for low-input cfDNA inputs, helping maximize usable data for these workflows.

Take the next step.

Learn more about the benefits of cfDNA Library Prep with TrueAmp Polymerase for low-input liquid biopsy research.

Learn more

 
Frequency of Sampling
Heterogeneity
Early Cancer Detection
Measurable Residual Disease (MRD)
Metastatic Disease Detection
Liquid Biopsy
Minimally invasive; enables frequent, longitudinal sampling.
ctDNA reflects multiple tumor sites in a single assay.
cfDNA enables multi-cancer detection from one sample.
Sensitive NGS detects low level ctDNA; TrueAmp preserves signal from low input.
System wide ctDNA detection; methylation can indicate origin.
Traditional Methods
Invasive biopsies limit sampling; imaging can be burdensome.
Single site biopsies miss spatial and temporal heterogeneity.
Often organ specific with variable sensitivity and cost.
Invasive procedures required; imaging lacks early sensitivity.
Limited sensitivity and infrequent monitoring delay detection.
Resources
Engineered for NGS Workflows
Engineered for NGS Workflows
Engineered for NGS Workflows