Built for confident enzymatic methylation sequencing

Twist EM-seq v2 Methylation Detection System enables accurate methylation analysis through a fully enzymatic workflow designed to preserve DNA integrity while delivering consistent library yields and high conversion efficiency. Optimized for low input and challenging samples, EM-Seq v2 supports robust methylation profiling without bisulfite induced DNA damage.

Reliable

Consistent library yields across input ranges

EM-Seq v2 delivers usable library yields from DNA inputs ranging from 0.1 - 200ng, supporting flexibility in experimental design while reducing dropout at low input levels.

samples

High conversion efficiency with enzymatic chemistry

Optimized enzymatic conversion maintains high unmethylated cytosine conversion rates, supporting accurate methylation calls without harsh chemical treatment.

detection

Engineered for methylation target enrichment

Reagents are specifically engineered to support methylation sequencing, preserving library complexity and performance through downstream workflows.

Product data

Libraries prepared with EM-Seq v2 maintain capture efficiency and uniformity. Performance is preserved through downstream workflows specifically for methylation applications, including compatibility with both standard and fast hybridization protocols.

EM-Seq v2 libraries processed with Twist hybridization maintain consistent capture efficiency and methylation performance, supporting reliable downstream analysis.

Consistent detection of differentially methylated regions demonstrates reliable performance across methylation targets, reinforcing reproducibility for downstream methylation analysis.

EM-Seq v2 generates consistent, usable library yields across a wide DNA input range. Reduced dropout at lower inputs supports methylation sequencing when sample availability is limited, while maintaining reliable performance across workflows.

EM-Seq v2 delivers robust enzymatic conversion of unmethylated cytosines with consistent CpG call ratios, supporting accurate and reliable methylation analysis while preserving DNA integrity.

Video
Cdfa
Highconversion
cfdna
duplexing
input

Engineered reagents preserve performance post-conversion

Libraries prepared with EM-Seq v2 maintain capture efficiency and uniformity. Performance is preserved through downstream workflows specifically for methylation applications, including compatibility with both standard and fast hybridization protocols.

Cdfa

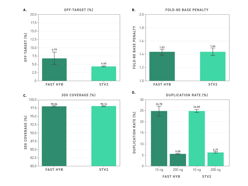
Figure 1 The Twist Methylation Enhancer improves target enrichment quality and reduces methylation-specific off-target hybridization for Twist EM-Seq v2 libraries captured with the Twist Alliance Pan-Cancer panel, using either the Fast or Standard Hybridization v2 systems.

Consistent Methylation Hybridization Capture Performance

EM-Seq v2 libraries processed with Twist hybridization maintain consistent capture efficiency and methylation performance, supporting reliable downstream analysis.

Highconversion

Figure 2. Twist EM-Seq v2 Methylation Detection System libraries captured with the Twist Alliance Pan-Caner panel using the Twist Standard Hybridization v2 system provide highly reproducible Picard target enrichment performance metrics across samples with highly variable methylation levels.

Reproducible Methylation Profiling Across Targets

Consistent detection of differentially methylated regions demonstrates reliable performance across methylation targets, reinforcing reproducibility for downstream methylation analysis.

cfdna

Figure 3. Highly sensitive methylation detection. Detection of methylation is possible across a wide range of methylation levels and targets.

Consistent library yield across DNA inputs

EM-Seq v2 generates consistent, usable library yields across a wide DNA input range. Reduced dropout at lower inputs supports methylation sequencing when sample availability is limited, while maintaining reliable performance across workflows.

duplexing

Figure 4. Yield of libraries generated with Twist EM-seq v2 Methylation Detection System. Library yields are high even with low mass input.

Confident Enzymatic Conversion for Accurate CpG Methylation Calling

EM-Seq v2 delivers robust enzymatic conversion of unmethylated cytosines with consistent CpG call ratios, supporting accurate and reliable methylation analysis while preserving DNA integrity.

input

Figure 5. Left Panel: Non-CPG Conversion Rate. Conversion rates with v2 are high even with low mass input. Right Panel: Called CPG Ratio. Conversion specificity with v2 is high even with low mass input.

1 / 5
Cdfa

Engineered reagents preserve performance post-conversion

Libraries prepared with EM-Seq v2 maintain capture efficiency and uniformity. Performance is preserved through downstream workflows specifically for methylation applications, including compatibility with both standard and fast hybridization protocols.

Highconversion

Consistent Methylation Hybridization Capture Performance

EM-Seq v2 libraries processed with Twist hybridization maintain consistent capture efficiency and methylation performance, supporting reliable downstream analysis.

cfdna

Reproducible Methylation Profiling Across Targets

Consistent detection of differentially methylated regions demonstrates reliable performance across methylation targets, reinforcing reproducibility for downstream methylation analysis.

duplexing

Consistent library yield across DNA inputs

EM-Seq v2 generates consistent, usable library yields across a wide DNA input range. Reduced dropout at lower inputs supports methylation sequencing when sample availability is limited, while maintaining reliable performance across workflows.

input

Confident Enzymatic Conversion for Accurate CpG Methylation Calling

EM-Seq v2 delivers robust enzymatic conversion of unmethylated cytosines with consistent CpG call ratios, supporting accurate and reliable methylation analysis while preserving DNA integrity.

Enzymatic Methylation Conversion with EM-Seq v2

EM-Seq V2  uses enzymatic reactions to selectively convert unmethylated cytosines while protecting methylated bases. After amplification, unmethylated sites are read as thymine and methylated sites remain cytosine, enabling accurate methylation analysis without DNA damage.

workflow