Engineered Performance for Reliable, Scalable cfDNA Workflows

Generate high quality libraries from challenging cfDNA inputs with a streamlined workflow that delivers high conversion and sensitivity for rare variant detection. Designed for low input and fragmented samples, the Twist cfDNA Library Preparation Kit helps you uncover critical insights with confidence and efficiency.

Reliable

Maximize Rare Variant Detection

High conversion rate reliably detects rare variants (≤0.1% VAF). High coverage libraries compatible with duplex sequencing workflows supported by the Twist UMI Adapter System.

samples

Streamline Workflow of Precious Samples

Robust performance, even with low (<1ng) sample input Sequence-ready libraries in 2 hours.

detection

Amplification without Bias

Delivers consistent coverage across 5%–95% GC, preserving visibility of challenging genomic regions and difficult-to-capture targets. Consistent high yields from complex libraries —even at ≤100 pg DNA input. Call variants with confidence via improved fidelity and reduced homopolymer slippage

Product data

High Fidelity Amplification with PCR Free–Like Error Rates cfDNA libraries prepared with Twist TrueAmp Polymerase show substitution error rates that are effectively equivalent to PCR-free cfDNA libraries across all measured base changes.

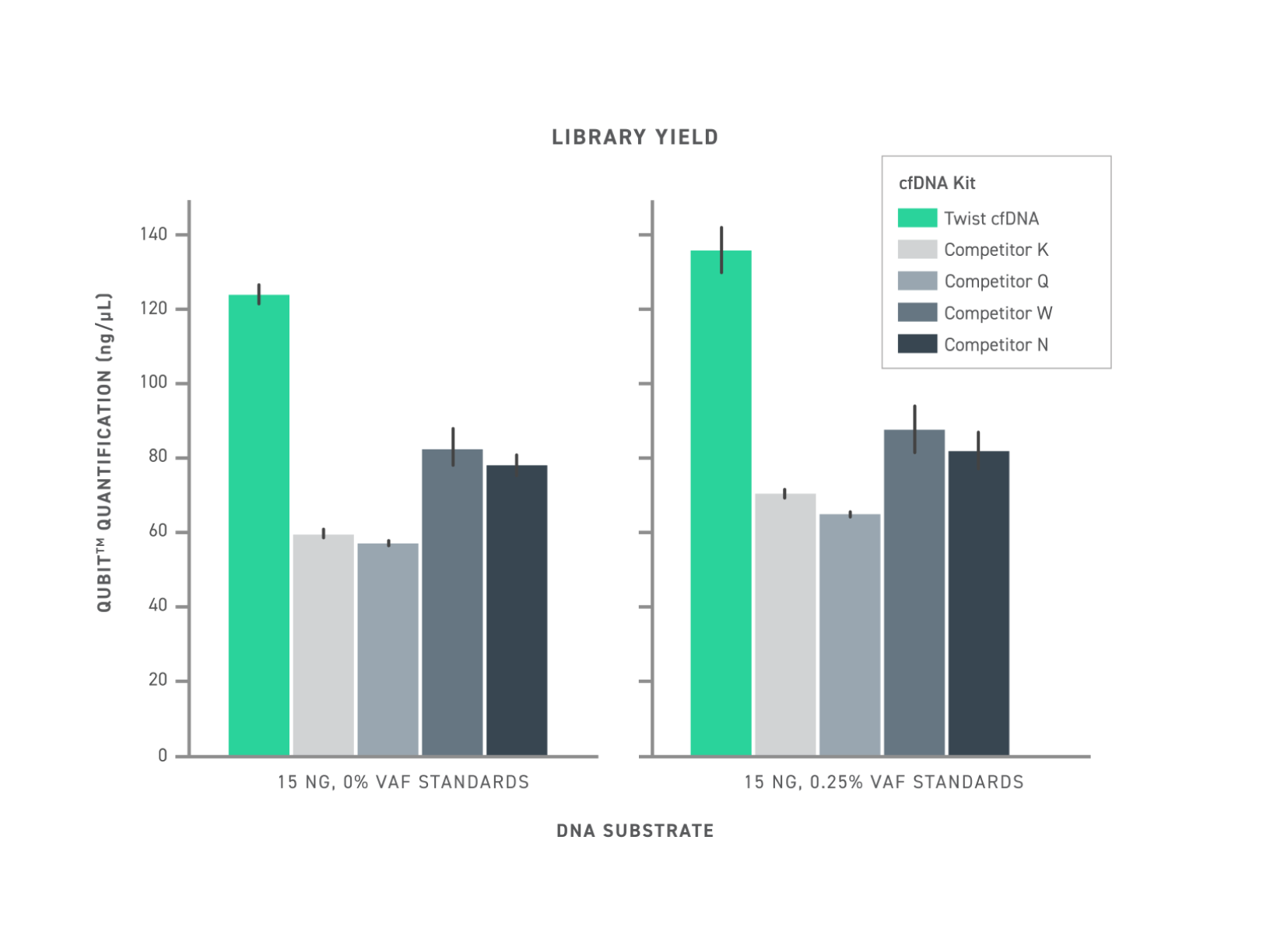
Twist cfDNA Library Preparation Kit delivers higher cfDNA library yields. Following library generation, samples were eluted in 20 μL of water and 1 µL was quantified with QubitTM dsDNA Broad Range Kit.

Twist cfDNA Library Prep and Hyb Mix Kit enables sensitive, accurate detection down to 0.25% VAF. Single-plex capture with a 50 kb oncology panel targets 217 SNPs. Missed variants are sites with <1 variant family over total detectable sites.

Twist cfDNA Library Prep and Hyb Mix Kit delivers higher library complexity with or without UMI deduplication. Single plex capture with a 50 kb oncology panel targets variant sites in cfDNA standard material using optimized TE workflows.

Twist cfDNA Library Preparation Kit delivers higher cfDNA library yields with native cfDNA samples. Following library generation, samples were eluted in 20 μL of water and 1 μL was quantified with QubitTM dsDNA Broad Range Kit.

Video
Cdfa
Highconversion
cfdna
duplexing
input

High Fidelity Amplification with PCR

High Fidelity Amplification with PCR Free–Like Error Rates cfDNA libraries prepared with Twist TrueAmp Polymerase show substitution error rates that are effectively equivalent to PCR-free cfDNA libraries across all measured base changes.

Cdfa

Figure 1 Comparable Base Substitution Error Rates with and without TrueAmp Amplification. The Twist cfDNA Library Preparation Kit was used to generate libraries with Twist cfDNA Pan-Cancer Reference Standard v2 as the input material. Twist Full Length Unique Dual Index (UDI) Adapters were used during ligation for the PCR-free condition and Twist Universal Adapters were used during ligation for the PCR condition. The PCR condition was amplified using 6 cycles with Twist TrueAmp Polymerase mix and UDI primers. The libraries were pooled, sequenced and analyzed. Comparable error rates are seen between PCR-free and TrueAmp libraries.

Higher Conversion Rate = Higher Yield

Twist cfDNA Library Preparation Kit delivers higher cfDNA library yields. Following library generation, samples were eluted in 20 μL of water and 1 µL was quantified with QubitTM dsDNA Broad Range Kit.

Highconversion

Figure 2. Twist cfDNA Library Preparation Kit delivers higher cfDNA library yields. Following library generation, samples were eluted in 20 uL of water and 1 uL was quantified with Qubit™ dsDNA Broad Range Kit.

Higher Sensitivity & Higher Accuracy

Twist cfDNA Library Prep and Hyb Mix Kit enables sensitive, accurate detection down to 0.25% VAF. Single-plex capture with a 50 kb oncology panel targets 217 SNPs. Missed variants are sites with <1 variant family over total detectable sites.

cfdna

Figure 3. Twist cfDNA Library Preparation and Hyb Mix Kit enables sensitive and accurate detection of variants at 0.25% VAF. Libraries were single-plex captured with a custom 50kb oncology panel targeting 217 SNP variant sites in the Pan-Cancer standard material. Variants Missed is calculated by summing sites with less than 1 variant family divided by total detectable variant sites.

mproved Duplexing = Higher Complexity

Twist cfDNA Library Prep and Hyb Mix Kit delivers higher library complexity with or without UMI deduplication. Single plex capture with a 50 kb oncology panel targets variant sites in cfDNA standard material using optimized TE workflows.

duplexing

Figure 4. Twist cfDNA Library Preparation and Hyb Mix Kit delivers higher complexity with and without UMI deduplication.

Low Input Proven with native cfDNA

Twist cfDNA Library Preparation Kit delivers higher cfDNA library yields with native cfDNA samples. Following library generation, samples were eluted in 20 μL of water and 1 μL was quantified with QubitTM dsDNA Broad Range Kit.

input

Figure 5. Twist cfDNA Library Preparation Kit delivers higher cfDNA library yields with native cfDNA samples. Following library generation, samples were eluted in 20 uL of water and 1 uL was quantified with Qubit™ dsDNA Broad Range Kit.

1 / 5
Cdfa

High Fidelity Amplification with PCR

High Fidelity Amplification with PCR Free–Like Error Rates cfDNA libraries prepared with Twist TrueAmp Polymerase show substitution error rates that are effectively equivalent to PCR-free cfDNA libraries across all measured base changes.

Highconversion

Higher Conversion Rate = Higher Yield

Twist cfDNA Library Preparation Kit delivers higher cfDNA library yields. Following library generation, samples were eluted in 20 μL of water and 1 µL was quantified with QubitTM dsDNA Broad Range Kit.

cfdna

Higher Sensitivity & Higher Accuracy

Twist cfDNA Library Prep and Hyb Mix Kit enables sensitive, accurate detection down to 0.25% VAF. Single-plex capture with a 50 kb oncology panel targets 217 SNPs. Missed variants are sites with <1 variant family over total detectable sites.

duplexing

mproved Duplexing = Higher Complexity

Twist cfDNA Library Prep and Hyb Mix Kit delivers higher library complexity with or without UMI deduplication. Single plex capture with a 50 kb oncology panel targets variant sites in cfDNA standard material using optimized TE workflows.

input

Low Input Proven with native cfDNA

Twist cfDNA Library Preparation Kit delivers higher cfDNA library yields with native cfDNA samples. Following library generation, samples were eluted in 20 μL of water and 1 μL was quantified with QubitTM dsDNA Broad Range Kit.

cfDNA Library Prep Kit with TrueAmp Polymerase Mix Workflow

The cfDNA workflow leverages engineered GC balance and high fidelity amplification. This design delivers high amplification yield while minimizing PCR introduced errors that can compromise low frequency variant detection.

The result is uniform, high-quality libraries in a fast, 2-hour workflow. Aptamer-based hot-start control provides room-temperature stability for automated setup, while the single-tube 2× mastermix streamlines both WGS and Target Enrichment workflows.

workflow